Skip to content

Port 460 Engineer Giddy Over City Fire Code Amendment

Back in May, Care4Suffolk published an article that described how Council reduced fire safety standards during the City Council Meeting on May 7, 2025. Against the objections voiced by Suffolk’s Fire Marshall, the fire code expert, Council voted 7-1 to approve amending Suffolk’s Fire Prevention and Protection Code (Chapter 38 of the Unified Development Ordinance) in such a way that it reduced some existing fire flow standards and added “flexibility” on approving hydrant system water connections.

 

This is a follow-up article to share further information that was obtained though FOIA (Freedom of Information Act) requests. These emails show that city staff had concerns about the fire solution plan for Port 460* and that there were communications with the Port 460 developer and its engineers regarding this fire code change. There was a sequence of events and communications through March and April, and by early May of this year, someone in the City, under the direction of the City Manager’s office, found a solution for the water configuration issues for Port 460. The work-around was to change Section 38-73, paragraph 6 of the City’s fire code in a way that made it seem like it was just simply “necessary” to match the state’s code. However, the paragraph 6 change, while meeting state code, actually also removed an extra safeguard that Suffolk had in place and added the option to let the fire official override the fire hydrant system water supply requirement. 

 

The engineer for the developer expressed excitement when the code change passed and had even asked the involved city staff to give a pre-emptive “buyoff on the fire solution” before the Council Meeting with the assumption that the change in code would be approved. (To their credit, city staff did not do this.)

It is clear that there were concerns from city staff regarding water supply for fire suppression at Port 460 . Through efforts by the City Manager’s office, City Council changed Suffolk’s fire code such that it  benefits the developers of the Port 460 warehouse project.

It all began with an email from the Building Fire Protection Plans Examiner on March 27, when he reached out to other staff in an email with the subject heading: Port 460 Building 1 (and 2?) Fire Pump House. This email chain reflects staff agreeing to set up a meeting to discuss the water configuration for this Port 460 project.

On April 1, there was a meeting with various staff from the Fire Marshall’s Office and Public Utilities for the purpose: “Clarification of water supply for building fire suppression systems at Port 460.” During the time of this email chain, the construction of Port 460 Building 1 was already well under way and Building 2 was just beginning. 

 

On April 29, almost a month later, there was another meeting. This meeting included some City staff and at least two Kimley-Horn representatives. There was a discussion regarding “fire solutions for Port 460 Building 1 and 2”. 

 

By May 7, the morning that this fire code change was set to go before City Council, there was an email from the City Manager’s office with an update for the Fire Chief and Fire Marshal on the presentation that they were scheduled to give to City Council during the Work Session at 4pm that afternoon. These additions were regarding the fire safety code change. We learned from the Fire Chief during the Work Session presentation that this change was directed by Mr. Moor, City Manager, and his staff.

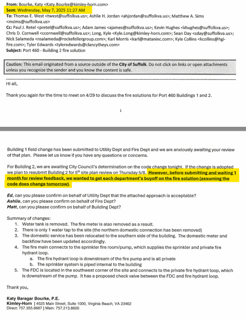
Also on May 7, Kimley-Horn was aware that City Council was about to vote to amend the fire safety code. They had already made site plan adjustments and wanted to have City staff department ‘buyoff” on the fire solution ‘assuming the code does change’. 

Bright and early the next morning, Kimley-Horn sent an email, excited about the fire code change approval.

As the city staff reviewed the site plans with regards fire safety, more issues arose. The water tank requirement had already been removed and there were new problems related to the public hydrants versus private.

This delay in action seems to have prompted a different Kimley-Horn rep to get involved and he emailed city staff requesting to schedule a virtual call, telling them that “this design item has become a critical path for approvals and to keep construction timelines.”

In response to this meeting request, the fire marshal’s plans reviewer states the need to see the final approved copy of the code change, which was then provided by then- Deputy City Manager Kevin Hughes. You can see from his email that he points out that paragraph 6 is what they are looking for.

They were able to schedule a May 12th meeting, after which a Senior Fire Protection Technician from fire protection firm, HGI (Harrington Group Inc.), joined an email thread stating that the engineers from Kimley-Horn are concerned, but that “HGI understands that the recently adopted amendments to the City of Suffolk Fire Prevention and Protection Code provide an exception for the fire official to approve alternate fire hydrant arrangements when the municipal water system cannot meet the fire flow demand.”

For reference, below is a screenshot of the code changes directly from Suffolk’s Unified Development Ordinance “municode” webpage. There is a “compare versions” icon that allows you to see additions and strike-through changes. (https://library.municode.com/va/suffolk/codes/code_of_ordinances?nodeId=PTIICO_CH38FIPRPR_ARTIIIFICO)

To add to this story, the delays in publishing these emails are in part because the initial response to the FOIA request included redacted portions of emails. It is not uncommon for municipalities to redact information for the following state and federal allowed reasons:

 

Exemption 1: Information that is classified to protect national security.

Exemption 2: Information related solely to the internal personnel rules and practices of an agency.

Exemption 3: Information that is prohibited from disclosure by another federal law.

Exemption 4: Trade secrets or commercial or financial information that is confidential or privileged.

Exemption 5: Privileged communications within or between agencies, including those protected by the:

Deliberative Process Privilege (provided the records were created less than 25 years before the date on which they were requested)

Attorney-Work Product Privilege

Attorney-Client Privilege

Exemption 6: Information that, if disclosed, would invade another individual’s personal privacy.

Exemption 7: Information compiled for law enforcement purposes that:

7(A). Could reasonably be expected to interfere with enforcement proceedings

7(B). Would deprive a person of a right to a fair trial or an impartial adjudication

7(C). Could reasonably be expected to constitute an unwarranted invasion of personal privacy

7(D). Could reasonably be expected to disclose the identity of a confidential source

7(E). Would disclose techniques and procedures for law enforcement investigations or prosecutions, or would disclose guidelines for law enforcement investigations or prosecutions if such disclosure could reasonably be expected to risk circumvention of the law

7(F). Could reasonably be expected to endanger the life or physical safety of any individual

Exemption 8: Information that concerns the supervision of financial institutions.

Exemption 9: Geological information on wells.

 

However, the City redacted portions for the reason: Irrelevant to Request.

That is not a legitimate reason to withhold information from the public. In fact, the requester is not required to provide any reason for the request of documents.

 

Further discussions with the City prompted an additional response to the FOIA request that was delayed, but contained unredacted copies of the emails. Both sets of these FOIA responses have been included on the Care4Suffolk FOIA page for public review. Included in the redacted portions was an email from Kimley-Horn.

 

Another FOIA request for more emails relating to the fire code change resulted in a response of 17 pages of completely redacted emails. They were literally 17 pages blacked out completely, with just the reason given as: City Attorney/Client. Look for the next article on this topic to learn more about the fully redacted FOIA responses to the FOIA request regarding fire code safety and what it means for the citizens of Suffolk.

*Port 460 is a controversial 540-acre, 5 million square foot warehouse complex approved by City Council in 2022.

4 thoughts on “Port 460 Engineer Giddy Over City Fire Code Amendment”

  1. As a former Chief Fire Inspector I found there were only two things from contractors that you can’t believe. That’s what they say and what they write.

  2. Can’t say enough how thankful i am that you do this. Honestly i think they should all be investigated for not representing the citizens of Suffolk best interests, including safety.

    1. We appreciate your support! City Council needs to take a long hard look at the city manager’s office. Staff follow the city manager’s office directions, so I don’t blame any individual staff. I know Al Moor has retired, but this would be a good time to clean house in that particular section.

  3. Let me join in on the thanks and gratitude you deserve for holding a light to what these out of touch city counselors do. A republic can only work with an informed citizenry and honest representatives. The schools have dumbed down one group and greed has corrupted another, in my opinion. Again, thank you.

Leave a Reply

Your email address will not be published. Required fields are marked *

This site uses Akismet to reduce spam. Learn how your comment data is processed.